金鹵燈鎮流器原理圖設計方案及其工作原理和技術方案等-KIA MOS管
信息來源:本站 日期:2018-06-01
金鹵燈是工業照明燈具光源的一種,金鹵燈屬于第三代光源,金鹵燈具有良好的節能、環保、高效的優點。
金鹵燈是由金鹵燈外殼、金鹵燈光源、鎮流器、觸發器、電容、散熱器等部分組成的。
金鹵燈是交流電源工作的,在汞和稀有金屬的鹵化物混合蒸氣中產生電弧放電發光的放電燈,金屬鹵化物燈是在高壓汞燈基礎上添加各種金屬鹵化物制成的第三代光源。
金鹵燈分為是石英金鹵燈,其電弧管泡殼是用石英做的,另一種是陶瓷金鹵燈,其電弧管泡殼是用半透明氧化鋁陶瓷做的,兩種的光效和價格都有很大的差別,目前石英金鹵燈的使用非常普遍,而陶瓷金鹵燈使用較少。
廣泛適用于制造業工廠、電力、鐵路、冶金、石化、廠礦、車間、物流倉庫、文體場館等高大場所。還可以作為防爆燈具的光源,用于電力、石油開采、冶煉、化工、軍工儲備等企業的危險環境及海洋石油平臺、油輪等場所。
金鹵燈最大優點是發光效率特別高,光效高達80~90Lm/W,正常發光時發熱少,因此是一種冷光源。金鹵燈具有有發光效率高、顯色性能好、壽命長等特點,是一種接近日光色的節能新光源。
為了確保金鹵燈不出現聲諧振,電子鎮流器一般工作于低頻方波狀態。傳統的低頻方波電子鎮流器包括3級結構:功率因數校正電路、降壓電路和全橋逆變電路。這種結構非常復雜而且造成了鎮流器的成本昂貴。簡化電路、降低成本已經成為如今研究的重點。一種方法就是把前兩級功率因數校正和降壓電路組成一級。這種方法可以減小鎮流器的體積,但是可能伴隨帶來的問題就是降低了功率因數校正電路的表現,增加了開關器件的應力等不利因素。另一種方法就是把降壓電路和逆變電路組合在一起。這種方法可以降低鎮流器的體積和成本,但是控制方法可能相對復雜。
組合降壓電路和半橋逆變電路在一起的方案是現在比較流行而且可行的方法。因為這種方式的電路相對最為簡單,成本最低。為了促進這種方案的廣泛應用,簡化它的控制方法,克服這種電路的缺點,提高它的可靠性就成為研究的重點。
本文對此種電路提出了一種新型控制方法,并且提出一種簡單有效的方法克服此電路在輸出電流換向時發生的電流過沖問題,降低了波峰系數。
1 電路描述
電路的結構框圖如圖1所示。
電路結構框圖
1.電路工作模態的分析
S1、S2的門極信號如圖2所示。當S1工作于高頻狀態時,S2被斷開。此時,電路等效于一個Buck電路,S1相當于主功率開關,而S2的體二極管相當于Buck的二極管。兩個開關管的工作狀態會以400Hz的一個頻率交替變化。這樣,就可以得到一個低頻的方波電流輸出供給燈。
金鹵燈電子鎮流器電路圖
二極管關斷時存在一個反向恢復問題,這會大大增加器件的開關損耗。為了避免這種情況的發生,我們讓電路工作在電流斷續狀態下。圖3是逆變級Buck電感電流的狀態示意圖。
電感電流斷續的情況
當S1工作于高頻狀態而S2斷開時,電路工作于3種工作模式。
1.模式1
S1開通,電流流過C1、S1、Rs、燈、點火電感和Lc圖4是這種模式的等效電路圖。其中點火電感的電感量遠遠小于電感L的電感量,假設電容C上的電壓在每個開關周期中保持不變,電感L上的電壓VL為
S1斷開,由于電感電流不能突變,電流流過Rs、燈、點火電感、L、C2和D2o。圖5是此種模式的等效電路圖。電感L的電壓為
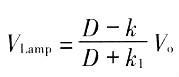
S1仍然處于斷開狀態。但是電感£的電流降為零。此時,電容C給燈提供能量,電流流過C、Rs、燈和點火電感。圖6是此種工作模式的等效電路圖。假設電容足夠大,電容上的電壓保持不變,我們能夠從式(1)、式(2)中得到輸出的燈電壓為
式中:系數k1與電感電流下降時間有關,在圖3中有著明確的表示。
當S1斷開,S2工作于高頻開關狀態時,電路的工作過程基本上和上面的分析一致。
根據上面的分析,在每半個低頻周期內半橋逆變電路可以等效為一個Buck降壓電路。從而一個半橋逆變電路既可以提供給燈一個合適的T作電壓又能使燈工作于低頻方波狀態。
1.2 閉環控制
因為金鹵燈的負阻特性,為此我們控制鎮流器的輸出呈現為電流源的特性,以保證燈的穩定工作。圖7是半橋電路的控制方法框圖。通過Rs采樣燈電流。采樣電阻Rs上的電壓是一個低頻的方波信號。首先通過運放l把這個信號放大,然后經過一個整流電路把這個交流的方波信號整流成直流,再經過RC濾波后進行PI調節,調節輸出為一個恒流源。可見這種控制方法等效于DC/DC的控制方法,簡單且有效。
1.3 電流過沖
但是,這個電路存在一個嚴重問題就是在每個輸出電流換向的瞬間會有很大的電流過沖。這樣的尖峰電流會大大降低燈的使用壽命。本文提出了一種簡單有效的方法克服這個問題。
圖8是半橋驅動門極信號的產生電路,其中的D觸發器、兩個與門和兩個或非門組合在一起用來減小驅動信號的占空比。而這個功能由控制腳(CP)來控制,當CP為高時,驅動的占空比就可以減小為大約原來的一半。這樣我們就可以在每個輸出電流換向的瞬間給CP一個高電平,減小驅動的占空比,以大大減小甚至消除過沖電流。圖9為一個簡單CP控制信號的產牛電路。圖10為腳CP信號與低頻逆變信號的時序圖。

2 實驗結果
采用上述控制方法的一個70W金鹵燈電子鎮流器樣機已經完成。電路主要參數如下。
L="380" μH;
C=1μF;
Vo="200V";
fh="100" kHz;
f1=400Hz。
其中:fh為半橋電路驅動的高頻和低頻頻率;
f1為半橋電路驅動的低頻頻率。
圖11顯示了輸出電流換向時驅動信號的變化。圖12為輸出電流換向時電感電流的變化,可以看到電流的過沖相當小。圖13為點火脈沖,由于點火是在低頻情況下進行,所以點火成功率很高。圖14為燈正常工作時的電流和電壓波形,可以看出燈電流基本沒有電流過沖的情況發生。整機效率約為90%,波峰系數為1.1。


結語:本文提出了一種用于兩級低頻方波金鹵燈電子鎮流器的新型控制方法。它調節輸出為恒流源,保證了燈的穩定運行。同時克服了電路存在的電流過沖問題。相比與傳統的3級低頻方波電子鎮流器,這種電路和控制方法簡單而有效,所謂價廉物美啊。
聯系方式:鄒先生
聯系電話:0755-83888366-8022
手機:18123972950
QQ:2880195519
聯系地址:深圳市福田區車公廟天安數碼城天吉大廈CD座5C1
請搜微信公眾號:“KIA半導體”或掃一掃下圖“關注”官方微信公眾號
請“關注”官方微信公眾號:提供 MOS管 技術幫助