模擬cmos集成電路設計 CMOS電路最常用的是什么電路-漲知識
信息來源:本站 日期:2017-08-21
基本電流源電路
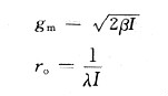
偏置電路有兩種,即電流偏置電路和電壓偏置電路。設計CMOS模擬電路時最常用的是電流偏置電路。這是由于MOS晶體管的跨導gm和輸出電阻ro是決定電路工作(放大增益和頻率特性)的基本參數,如式(7.1)所示,這一點可以用電流I簡單地表現出來:

式中,β是溝道長寬比有關的參量;入是ID-VDS特性的斜率。
理想的電流偏置源電路是在工作環境溫度、電源電壓、輸出電壓有變動的情況下仍然能夠持續提供恒定電流的電路。
首先,引見對外部提供的參考電流進行復制、在電路必要的中央制造電流源的方法。為了復制電流,需求監視參考電流的機構。最簡單的方法就是二極管銜接的MOS晶體管。如圖7.1所示,假設運用二極管銜接器件,那么參考電流Iref就被變換為柵極電壓VGS:

考慮到電流開端流過MOS晶體管時的柵極電壓VGS,就是閾值電壓VT,可以看出,過驅動電壓△ov是為了流過電流Iref,在柵極上額外多加的電壓。思索到Mos晶體管的柵極電流是由柵極—源極間電壓決議的(前提是工作在飽和區VDS
聯系方式:鄒先生
聯系電話:0755-83888366-8022
手機:18123972950
QQ:2880195519
聯系地址:深圳市福田區車公廟天安數碼城天吉大廈CD座5C1
關注KIA半導體工程專輯請搜微信號:“KIA半導體”或點擊本文下方圖片掃一掃進入官方微信“關注”
長按二維碼識別關注