0。其結果,M2發作基底偏置效應,使M2的閾值電壓比M1高。" />
如何正確理解mos管襯底偏置效應
信息來源:本站 日期:2017-08-16
圖1. 33所示電路為例,剖析襯底偏置效應的產生。
由于MOS晶體管M1的源極與基底都接地,所以不發作襯底偏置效應。而M2源極的電位VS比接地的基底的電位VB=0要高,這就意味著VSB>0。其結果,M2發作基底偏置效應,使M2的閾值電壓比M1高。
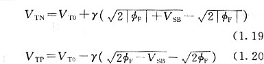
NMOS晶體管的閾值電壓VTN、PMOS晶體管的閾值電壓VTP分別由下式給出:



式中,VTO是VSB=0時(即不發牛襯底偏置效應時)的閾值電壓。它的極性在NMOS中是VTO>0,關于PMOS是VTO
式中,q是電子電荷,1.6X 10-19[C];εsi是硅的相對介電常數,εsi= 11.7;Nsub是襯底(阱)的雜質濃度。γ越大,表示襯底偏置效應越強。關于NMOS和PMOS來說,與閾值電壓有關的參數的極性是不同的,表1.1列出這些參數及其極性。
上面引出了多個物理參數。不過重要的是:當源極—基底間的pn結加反向電壓時,MOS晶體管的閾值電壓會上升。