折疊式共源共柵結構/折疊式共源共柵放大器-KIA MOS管
信息來源:本站 日期:2022-07-27
共源共柵級由共源級實現電壓到電流的轉換,然后電流信號加到共柵級的源端。因此,構成共源共柵級時共源管和共柵管類型可以不同。
如圖3.0.2.1,M1是輸入器件:PMOS;M2是共源共柵器件:NMOS;I1為直流偏置電流源。
折疊式共源共柵結構具有輸出阻抗高、增益高等優點,但同時折疊式共源共柵級直流功耗大。
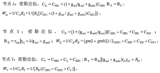
節點近似法分析三個節點:A、X、Y,如圖3.1.1.1所示。
在這三個極點中,其中Win一般不考慮,在設計電路時,Wx選擇在高頻處。因此:Wy是主極點,傳輸函數是單極點函數。
目前共源共柵放大器已經逐漸取代了傳統的套筒式運放,因為共源共柵放大器的輸出擺幅明顯比它更大,而且易于對輸入與輸出進行操作如圖3.1.2.4所示,為一個PMOS的共源共柵放大器。
聯系方式:鄒先生
聯系電話:0755-83888366-8022
手機:18123972950
QQ:2880195519
聯系地址:深圳市福田區車公廟天安數碼城天吉大廈CD座5C1
請搜微信公眾號:“KIA半導體”或掃一掃下圖“關注”官方微信公眾號
請“關注”官方微信公眾號:提供 MOS管 技術幫助
免責聲明:本網站部分文章或圖片來源其它出處,如有侵權,請聯系刪除。
